学生公告

您当前的位置: yl23455永利官网 永利官网 学生公告 正文

关于公布我院2024届校级优秀毕业生拟推名单的通知

来源:永利官网 发布时间:2024-03-12 浏览量:

各班级、各同学:

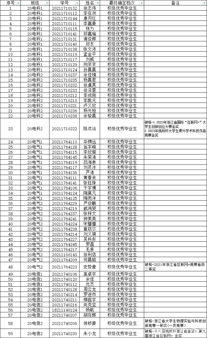
根据《温州大学优秀毕业生评选办法》(温大行政发[2020]104号),按照学校初次分配名额,根据前期进行2024届校级优秀毕业生的预评选,推荐 20电科1 徐志伟 等59名同学获得校级优秀毕业生荣誉称号,现将名单进行公示。


       请上述同学于3月14日16:00前填写下方收集表

【腾讯文档】电气学院-2024年校优名册

  https://docs.qq.com/form/page/DRlJSWnJkdGZYTW9r

公示期:2024312-2024314日

公示期内如对所公示有异议或问题,请个人于2024314日16:00之前将信息反馈,反馈信息要清楚明确,有理有据,以便及时处理。

联系人:陈老师 办公室1A-519

电话:0577-86689070 


yl23455永利官网学工办

2024312


联系我们

地址:温州大学南校区1号楼 电话:0577-86689010 传真:0577-86689010 邮编:325035 邮箱:dqdzxy@wzu.edu.cn

关注我们